Select a country for a better browsing experience.

  • Global
open

All rights reserved.
©2026

Select a language.

ENopen ESopen FRopen
Want to go back?

Food & Beverage analysis

Automated sugars analysis: discover how easy it is to measure them in various matrices

Sugars analysis is essential to understand the amount of simple and complex carbohydrates present in food and beverage samples.

Sugars can be divided into three big groups:

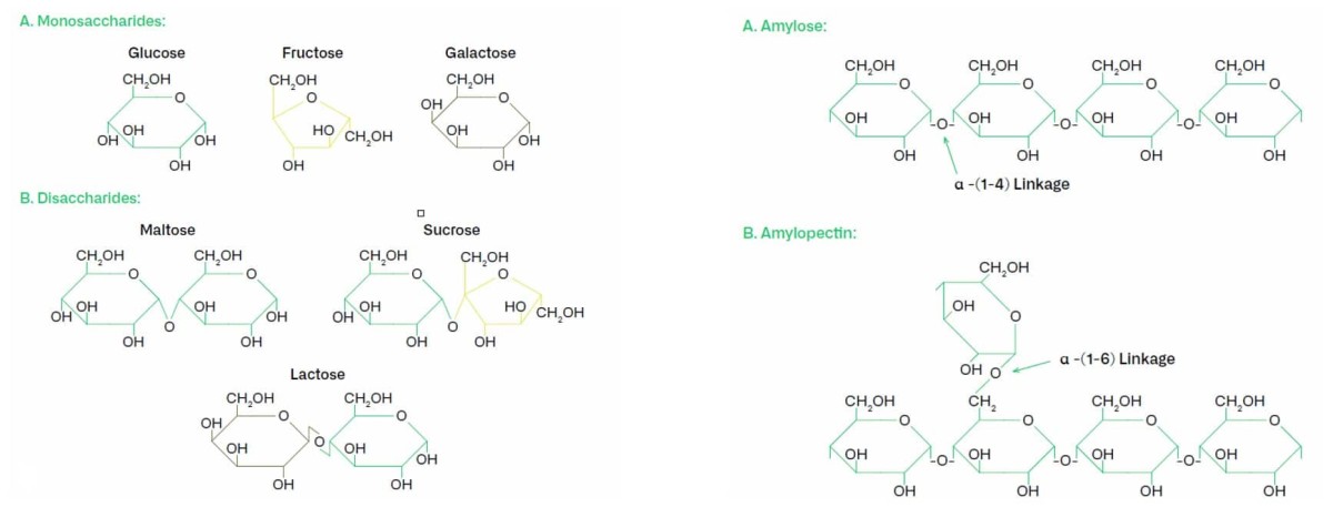
A) Monosaccharides, from the Greek word monos (single) and sakcharon (sugar), that comprise glucose, fructose and galactose.

B) Disaccharides, composed by two sugars molecules as sucrose, lactose and maltose.

C) Polysaccharides, made by a chain of sugars molecules, like starch. In the picture below we can see the molecules of amylose and amylopectin, that compose starch.

As shown in the image above, monomers are connected by glycosidic bonds, which are a type of covalent linkage.

In disaccharides, these bonds are formed between the –OH group on the anomeric carbon (carbon 1) of one sugar and the –OH group on carbon 4 or carbon 2 of another sugar.

More specifically:

• Maltose has an α-(1→4) glycosidic bond between two glucose units.

• Lactose has a β-(1→4) glycosidic bond between galactose (at carbon 1, β-anomeric) and glucose (at carbon 4).

• Sucrose has an α-(1→2)β glycosidic bond between the anomeric carbon 1 of glucose (α) and the anomeric carbon 2 of fructose (β).

In starch, glucose molecules that make up amylose are linked by α-1,4-glycosidic bonds, while amylopectin, which creates the branches, is connected through α-1,6-glycosidic bonds. These occur between the –OH group on carbon 1 of one sugar and the –OH group on carbon 6 of another.

Glycosidic bonds form through a condensation reaction, during which a water molecule is released.

Why is sugar analysis important?

Knowing the type and amount of sugars in products is crucial for:

• Accurate food and beverage labelling.

• Assessing quality and organoleptic properties (taste, texture).

• Preventing fraud and ensuring transparency for consumers.

How does BioSystems contributes to sugar analysis?

We provide a system based on different reagents for glucose, fructose, sucrose, lactose, maltose and starch analysis automated into BioSystems Y15 analyser.

All methods are enzymatic, so the key-lock model guarantees sensitivity and selectivity for the substrate avoiding interferences (from polyalcohols for example).

We also provide a set of calibrators and control materials.

Everything is liquid, ready-to-use and validated in a big variety of matrices, such as fruit juice, vegetable, honey, cereals, chocolate, meat and dairy products.

Where can we find these sugars, and why does analysing them matter?

Sugars are present in most products that we consume daily.

For example, glucose and fructose are found in many fruit, vegetables and also honey. Sucrose is the common table sugar; it is made of glucose and fructose and is generally added to many processed foods.

Lactose is the milk sugar, naturally present in dairy product and also found in other foodstuff like cured meat or cereal products (as ingredient or because of cross-contamination). Many people suffer from lactose intolerance, so our method goes beyond simply measuring sugars, since it also detects lactose as an allergen, helping ensure accurate and reliable lactose-free labelling.

Maltose is common in cereal based food deriving from starch hydrolysis.

How is the result expressed?

Our system allows measuring sugars individually or combined, delivering precise and direct results expressed as concentrations in different units of measurements (g/100g, g/kg, g/L) according to the user needs.

If compared to traditional methods like HPLC or Luff-Schoorl, BioSystems method for sugars analysis is faster, user-friendly and does not need the use of toxic reagent.

 

If you need more information about our automated sugars analysis, you can find it in this list of videos, in English and Spanish:   Sugar Analysis | Food & Beverage